盐城市明达高级中学
登录
注册
iCMS
我的主页
我的文章
我的评论
我的私信
账号设置
退出
发表文章
账号设置
退出
搜索
网站首页
学校概况
学校简介
学校领导
校园风光
学校文化
新闻中心
通知公告
校园新闻
视频新闻
党建工作
组织工作
宣传工作
纪检工作
主题教育
课程教学
课程建设
教学管理
招考信息
校园足球
德育法制
常规制度
班主任队伍
团旗飘飘
家长学校
红十字校
健康教育
安全保障
主题教育
艺术活动
教育研究
科研动态
教师论坛
培训交流
成果展示
教师发展
教学教研
后勤保障
信息技术
劳动技术
通用技术
学生成长
学生会
学生社团
青年志愿者
发展评价
爱心班简介
技术保障
管理制度
装备管理
智慧校园
教育现代化
招投公示
教工之家
制度职责
政策法规
关工工作
工会工作
民主党派
校务公开
创建活动
校长信箱
收费公示
首页
新闻中心
通知公告
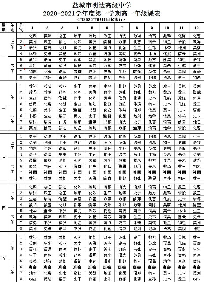
盐城市明达高级中学2020-2021学年度第一学期课务分工表、课表、作息时间表公示
盐城市明达高级中学2020-2021学年度第一学期课务分工表、课表、作息时间表公示
盐城市明达高级中学
http://www.ycmdzx.cn
2020-09-02 16:10
作者:教务处
分享到
上一篇:
江苏省盐城市明达高级中学2020年秋学期教育收费公示表
通 知
:下一篇